Professor

Stephen Lynch NTF FIMA SFHEA

RESEARCH INTERESTS

1.      Binary Oscillator Computing: Computing with threshold oscillators.
Our latest journal paper. Speakers for Schools video.

 

        Patent Figure             Patent Time Series

2.      Programming in the Mathematics Curriculum: Two UK government reports published in 2018 (Blackett Review and Bond
Report) recommend the adoption of computational modelling and programming in the Mathematics curriculum.
Programming in the Maths curriculum.

 

        Lynch Books

3.      The Second Part of Hilbert's Sixteenth Problem: A problem in Pure Mathematics that is over 100 years old and still not solved.
The problem was recently mentioned in an episode of the Umbrella Academy! Research slides for Hilbert's 16th problem.

 

        David Hilbert             Umbrealla Academy

4.      Multifractal Analysis: Using multifractal analysis to measure density, dispersion and clustering.
Our latest journal paper.

 

        Multifractal Analysis             Multifractal Curves

5.      Nonlinear Optical Resonators: Modelling light in optical resonators using ordinary and delay differential equations.
Our latest journal paper.

 

        Optical Resonator             Hysteresis in OR

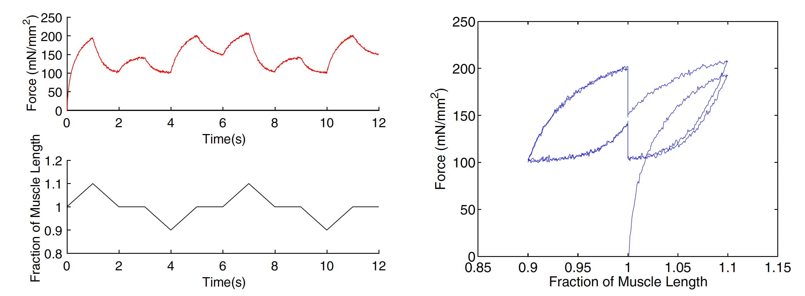
6.      Hysteresis in Science: When the behaviour of a dynamical system is history dependent. Our latest journal paper.

 

        Muscle Model             Hysteresis in Muscle
        A muscle model using springs and dampers. The figure on the right shows hysteresis in biological single fibre muscle.